X
Üdvözöljük iskolánk weboldalán
E-mail
euro@baptistaoktatas.hu
Telefon
52/423-472
Menü
FENNTARTÓ
HÍREK
Beszámoló
Eredmények
Közérdekű
Pályázat
Sport
Programok
GALÉRIÁK
Egyéb
Információk
Kirándulások
Pályaorientációs nap
Sport
Ünnepségek
KAPCSOLAT
Bemutatkozunk
Iskolánk
Kapcsolat
Küldetés
Információk
Dolgozók
A tanév eseménynaptára
Csengetési rend
Dokumentumtár
ICDL
Gyermekvédelem
Közösségi szolgálat
Pályázatok
Tanulmányi segédletek
Álláshirdetések
Advent-karácsonyi kiadvány
Baptista
Baptista Nevelés-Oktatás
Kik a baptisták?
Küldetéstudat
Videók
Versenyeink
Versenyek 7. és 8. osztályosoknak
Általános iskolásoknak
Felvételi tájékoztató 2026/27
Ideiglenes rangsor
2026/2027. tanévben induló osztályaink
Válaszd az EURO-t!
Versenyeink 7-8. osztályosoknak
Felnőttoktatás
Érettségi
Érettségi témakörök
Érettségi vizsgaidőpontok
Vizsgaszabályzat
Hogyan zajlik az érettségi
Jelentkezési lapok
Szakképzés
Informatikai rendszer - és alkalmazás üzemeltető technikus
Közszolgálati technikus
Szakmai vizsgaidőpontok
Oktatási szakasszisztens
ECL nyelvvizsga
CISCO
Hozzájárulás
Hírek, aktualitások
Beszámoló
Eredmények
Közérdekű
Pályázat
Sport
Programok
Galériák
Egyéb
Információk
Kirándulások
Pályaorientációs nap
Sport
Ünnepségek
Iskolánk
Középiskola
Nyelvvizsga
Szakképzés
Felnőttoktatás
E-Kréta
Kapcsolat
EURO Baptista Gimnázium
20 éve a Tócóskert közepén
bővebben...
Bemutatkozunk
Iskolánk
Kapcsolat
Küldetés
Információk
Dolgozók
A tanév eseménynaptára
Csengetési rend
Dokumentumtár
ICDL
Gyermekvédelem
Közösségi szolgálat
Pályázatok
Tanulmányi segédletek
Álláshirdetések
Advent-karácsonyi kiadvány
Baptista
Baptista Nevelés-Oktatás
Kik a baptisták?
Küldetéstudat
Videók
Versenyeink
Versenyek 7. és 8. osztályosoknak
Általános iskolásoknak
Felvételi tájékoztató 2026/27
Ideiglenes rangsor
2026/2027. tanévben induló osztályaink
Válaszd az EURO-t!
Versenyeink 7-8. osztályosoknak
Felnőttoktatás
Érettségi
Érettségi témakörök
Érettségi vizsgaidőpontok
Vizsgaszabályzat
Hogyan zajlik az érettségi
Jelentkezési lapok
Szakképzés
Informatikai rendszer - és alkalmazás üzemeltető technikus
Közszolgálati technikus
Szakmai vizsgaidőpontok
Oktatási szakasszisztens
ECL nyelvvizsga
CISCO
Hozzájárulás
Hírek, aktualitások
Beszámoló
223
Eredmények
43
Közérdekű
283
Pályázat
1
Sport
1
Programok
102
Galériák
Egyéb
10
Információk
2
Kirándulások
3
Pályaorientációs nap
1
Sport
1
Ünnepségek
14
Aktualitásaink
Áldott húsvéti ünnepeket kívánunk mindenkinek!
2026. 04. 01. 10:30
Budapesten, a Rákóczi Szövetség
2026. 04. 01. 10:29
Méliusz Központi Könyvtárának Helytörténeti részlege
2026. 04. 01. 10:26
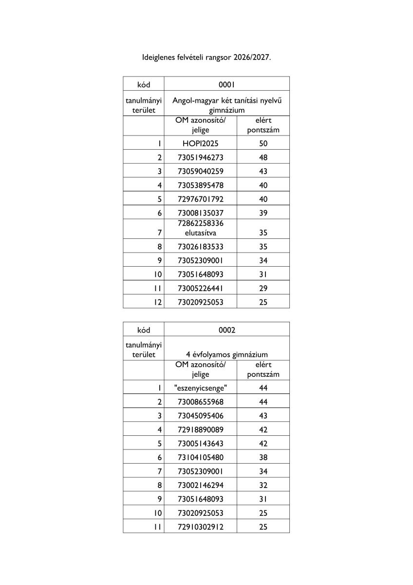
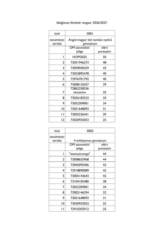
Ideiglenes rangsor
EURO Baptista Gimnázium ideiglenes rangsora a 2026/2027. tanévre
A rangsor megtalálható
ITT
GALÉRIA
CSATOLT DOKUMENTUMOK
LETÖLTÉS
225 Kb
Ideiglenes rangsor 2025/2026
LETÖLTÉS
228 Kb
x
Home++
Home One
Home Two
Home Three
Home Four
About Us
About One
About Two
About Three
Pages
Teachers
Teachers Without Filter
Teachers Single
Gallery One
Gallery Two
Gallery Three
Shop
Shop Details
Cart
Shop
Error 404
Courses
Courses
Courses Two
Courses Details
Events
Events
Events Details
Blog
Blog
Blog Details
Contact
Search for: